Technical document

    • The advantages and disadvantages of PA46 material

      PA 46 (polyamide 46) is a high-performance engineering plastic with the following advantages and disadvantages:AdvantagesHigh Heat Resistance: PA 46 has a high heat distortion temperature, generally a

      2025/05/14 PA46

    • The advantages and disadvantages of PETG material

      PETG, a non-crystalline copolyester, is widely used in packaging, medical, electronics and other fields. Here are its advantages and disadvantages:AdvantagesExcellent TransparencyPETG features high tr

      2025/05/12 PETG

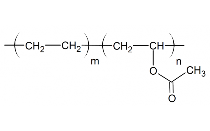
    • The advantages and disadvantages of EVA material

      EVA Material (Ethylene-Vinyl Acetate Copolymer): Advantages and DisadvantagesAdvantagesExcellent Flexibility and ElasticityOffers high flexibility and elasticity, capable of withstanding tension and c

      2025/05/08 EVA

    • What is PA46 material

      PA46 (polybutylene adipamide) is a high-performance engineering plastic.I. Chemical Structure and Basic PropertiesMolecular Structure: Formed by polycondensation of butanediamine and adipic acid, with

      2025/05/07 PA46

    • What is PETG material

      PETG, short for poly - ethylene terephthalateco - 1, 4 - cylclohexylenedimethylene terephthalaate, is a transparent, non - crystalline copolyester. Here is a detailed introduction:I. Chemical Composit

      2025/05/05 PETG

    • What is EVA material

      EVA (Ethylene-Vinyl Acetate Copolymer) is a versatile polymer material composed of ethylene and vinyl acetate monomers.I. Chemical StructureEVA is formed through copolymerization of ethylene (E) and v

      2025/04/30 EVA material

    • 10 common plastic toughening agent combination schemes

      In plastic product manufacturing, plastic tougheners are key to enhancing material performance. Below are 10 common plastic toughener formulation schemes:1. PC Tougheners – MBS and EMAPC is prone to c

      2025/04/28 plastic toughening agent combination schemes

    • What is TPV material

      TPV materials, namely Thermoplastic Vulcanizates, are high-performance polymer materials with unique properties and wide application fields.I. Composition and StructureTPV is a two-phase system compos

      2025/04/26 TPV material

    Home
    Product
    News
    Contact